英特尔Skylake处理器改版:i7/i5/E3全换新
Helan 2015-10-05 11:06Intel Skylake处理器正值大规模出货期,但现在官方确认了改版的消息。先别慌,这并非什么质量问题,而是Intel将在10月底的新批次中为Skylake处理器添加一项新功能SGX(Software Guard Extensions,软件防护扩展指令)。

SGX最早在2013年推介出来,主要功能是在计算平台上提供一个可信的空间(类似“沙盒”),保障用户关键代码和数据的机密性和完整性。
具体来说,这种方式并不是识别和隔离平台上的所有恶意软件,而是将合法软件的安全操作封装在一个enclave中,保护其不受恶意软件的攻击,特权或者非特权的软件都无法访问enclave,也就是说,一旦软件和数据位于enclave中,即便操作系统或者和VMM(Hypervisor)也无法影响enclave里面的代码和数据。Enclave的安全边界只包含CPU和它自身。


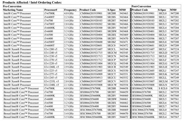
Intel表示,受影响的Skylake处理器主要集中在中高端,包括盒装和散片的i7\i5\E3-1200 v5系列。
另外,随之发生变化的仅有S-Spec和MM编号,,其他像步进版本(R0)、CPUID(0x506E3)、Die大小、封装、包装盒等都不变,BIOS也不需要更新。
新品的出货日定在10月26号。截至发稿,Intel并没有说明为什么前期的Skylake不支持SGX。

全部型号(PDF)

